KEL
7.35 / 99.51M
0.24
|
FNEL
1.74 / 91.35M
0.09
|
BOP
40.04 / 86.29M
1.54
|
HASCOL
25.02 / 27.84M
-0.90
|
WTL
1.66 / 26.73M
0.01
|
LSEVL
10.58 / 19.53M
0.97
|
CNERGY
7.69 / 17.57M
0.14
|
WAVES
15.98 / 15.68M
0.77
|
NPL
96.65 / 15.30M
0.73
|
NCPL
86.98 / 14.78M
0.27
|
PIBTL
20.74 / 14.47M
0.12
|
PTC
64.30 / 14.42M
2.13
|
TRG
76.49 / 13.04M
3.67
|
GCWL
22.72 / 12.82M
1.23
|
ZAL
68.13 / 11.72M
4.70
|
KOSM
6.05 / 11.46M
-0.04
|
CSILR3
2.02 / 10.78M
0.29
|
NBP
277.98 / 10.57M
4.37
|
CPHL
89.93 / 9.93M
5.26
|
DSL
7.96 / 8.34M
0.26
|
WAVESAPP
11.16 / 8.29M
0.50
|
PIAA
22.17 / 7.47M
1.52
|
FFL
21.39 / 7.41M
0.39
|
IPAK
31.57 / 7.39M
1.94
|
HUBC
234.50 / 7.01M
1.20
|
PRL
38.15 / 6.59M
0.36
|
TREET
33.78 / 6.18M
0.33
|
DCL
12.20 / 6.07M
0.14
|
PSO
484.79 / 5.77M
11.09
|
AHCL
18.10 / 5.51M
0.16
|
ILP
94.70 / 5.42M
8.61
|
PIAHCLA
28.92 / 5.21M
-0.61
|
MUGHAL
93.80 / 4.97M
-1.90
|
TPLP
11.69 / 4.94M
0.09
|
TELE
11.76 / 4.90M
0.19
|
FCCL
57.41 / 4.72M
0.60
|
PPL
277.26 / 4.69M
-2.06
|
TPLRF1
11.24 / 4.64M
0.04
|
PACE
16.50 / 4.62M
0.62
|
PAEL
57.69 / 4.54M
1.12
|
AKBL
119.20 / 4.50M
3.86
|
ASL
13.97 / 4.44M
0.65
|
OGDC
329.02 / 4.33M
0.05
|
FCL
26.29 / 4.17M
0.24
|
UNITY
20.12 / 4.15M
0.46
|
CSIL
5.69 / 4.14M
0.16
|
FFC
590.05 / 4.11M
9.47
|
POWER
21.42 / 3.86M
0.33
|
TSBL
3.38 / 3.85M
0.19
|
THCCL
68.63 / 3.73M
1.61
|
Standard Capital
Committed to Intelligent Investing
+9221-111-111-721
 
+92-321-829-6919
Call Us
Why SCS
Why SCS
About Us
CEO`S Message
Our Management
Company Financials
Company Brochure
Management Rating
Credit Rating
License Details
Auditor & Legal Advisor
Registered Agents
Careers
Online Trading
Open An Account
Online Account
Roshan Digital Account
PMEX Digital Account
Online Services
Transfer Funds
Commission Structure (PSX)
Commission Structure (PMEX)
Access Trading Platforms
TradeCast User Guide
PMEX
Open An Account
Introduction To PMEX
PMEX Account Opening
PMEX Commission Structure
Online Services
Transfer Funds
Do`s & Dont`s
Direct Fund Model
Prohibition of Dealing
Risk Management
Security And Protection
Investor Education
Important Guidelines
Account Opening Requirements
Investor Grievances
Membership License
Market Statistics
Market Valuations
Market Valuations
MSCI Stocks
Top Expected P/E Stocks
Top Dividend Yeild Stocks
Top Price to Book Value Stocks
Top EV/EBITDA Stocks
Top Performing Stocks (3 Months)
Top Performing Stocks (6 Months)
Lowest Paid Up Capital Stocks
Price Data
Index Overview
Daily Activity
Historical Indices
Historical Prices
Near 52 Weeks High - Low
Announcements
Announcements
Board Meetings
xPrice Dates
Portfolio Investments
Portfolio Investment Overview
Watch List
Watch List
PSX Heat Map
PSX Heat Map
Technicals
Technical Tools
Realtime Advanced Chart
Realtime Advanced Multi Chart
Basic Charting Day-End
Index VS Stocks
Technical Report
New
Trading Signals
Trading Signals
Today`s Trading Signals
Trading Signal Performance
Fundamentals
Financials
Index Snapshot
Sector`s Snapshot
Company`s Snapshot
Stock Screening
Stock Screening
Stock Comparison
Research & Education
Research
Analyst Opinions
Market & Economic Reports
Company Reports
Trading Desk Reports
Technical Reports
Mutual Fund Reports
Trading Reports
Payout Guides
News Briefs
MTS Report
Valuation Matrix
MSCI PRO INDEXES
Guides
New to Investing
Guides
Website Guide
Workshop
Online Trading Terms
SLA From Software Vendor
POLICY AND PROCEDURES
Product Compliance Certificate
PSX Merged Shares
Change of the Name
PSX Delisted Securities
Media
Video Gallery
Support
Investor Grievances
Contact Us
Branches
Teamviewer
Any Desk
Java
Snapshot /
LIVEN - Liven Pharma Ltd. (Formerly LMSM)
Snapshot Menu
Company Detail`s
Overview
Funds Holding
Analyst Opinion
Historical Prices
Profile
News
Announcements
Technicals
Overview
Basic Chart
Trading Signals
Analyst Coverage
Research Reports
Financials
Yearly Financials
Quarterly Financials
Distributions
Ratios
Yearly Ratios
Quarterly Ratios
LIVEN - Liven Pharma Ltd. (Formerly LMSM)
PHARMACEUTICALS
Share
Rs. 48.38
4.40 (10.00%)
Volume:Â
385,018
Market Cap:Â
4.50 bn
Avg Volume (12M):Â
342,460
Day`s Range
Rs. 44.00
Rs. 48.38
1 Month Range
Rs. 43.98
Rs. 52.60
6 Month Range
Rs. 43.98
Rs. 71.31
52 Week`s Range
Rs. 43.65
Rs. 162.00
Performance
1 Month
3 Month
6 Month
1 Year
-7.72 %
-21.75 %
-25.68 %
-68.02 %
Paid Up Capital:
930.40 mn
Authorized Capital:
1,000.00 mn
Total No. Shares:
93.04 mn
Free Float:
13.96 mn
Beta:
0.21
Facevalue:
10.00
Free Float %:
15.00 %
Year End:
June
Market Cap:
4.50 bn
Business Description
Landmark Spinning Industries Limited was incorporated in Pakistan as a private Limited Company on October 21, 1991 and was converted into a public limited company on April 30, 1992 under the Companies Ordinance, 1984. The principal activity of the Company is trading, manufacturing and sale of yarn.
Recent Announcements
Ann Type
Ann Date
Description
Image
PDF
Material Information
05-Jan-2026
Material Information - Possible Merger Acquisition
View
PDF
Financial Result
02-Jan-2026
Financial results for the quarter ended September 30, 2025
View
PDF
Board Meetings
26-Dec-2025
Board meeting for the consideration of Quarterly accounts for the period ended September 30, 2025 at 04-Feb-2026
View
PDF
Material Information
11-Dec-2025
Material Information - Toll Manufacturing Agreement Between Liven & Wimits
View
PDF
Material Information
10-Dec-2025
Material Information - Toll Manufacturing Agreement Between Liven & Skywin
View
PDF
Insider Transactions
Date
Name
Designation
Action
Quantity
Rate
Image
PDF
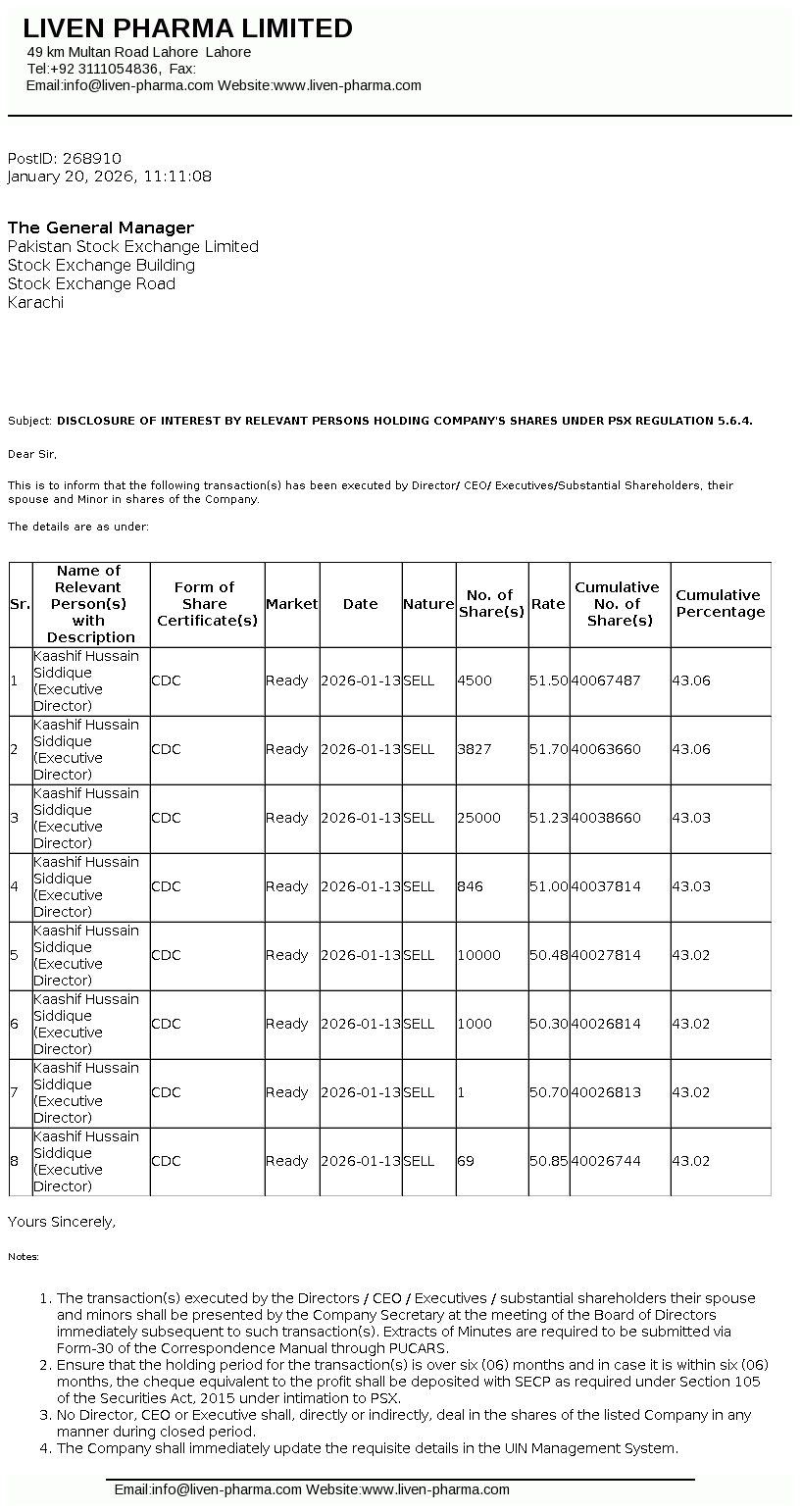
13-Jan-2026
Kaashif Hussain Siddique
Executive Director
Sell
4,500
51.50
View
PDF
13-Jan-2026
Kaashif Hussain Siddique
Executive Director
Sell
3,827
51.70
View
PDF
13-Jan-2026
Kaashif Hussain Siddique
Executive Director
Sell
25,000
51.23
View
PDF
13-Jan-2026
Kaashif Hussain Siddique
Executive Director
Sell
846
51.00
View
PDF
13-Jan-2026
Kaashif Hussain Siddique
Executive Director
Sell
10,000
50.48
View
PDF
Earnings
Latest EPS
Upto 2026 1Q
EPS Last Quarter
2026 1Q
Last Annual EPS
Upto 2025 4Q
Price To Earning P/E
Upto 0
Exp Price To Earning P/E
Upto 2026 1Q
Exp Earning Gowth
Upto 2026 1Q
Price Earning Growth
Upto 0
Rs. -0.32
Rs. -0.32
Rs. -6.28
N/A x
N/A x
79.62 %
N/A x
Important Ratios
Gross Margin
Upto 2025 4Q
Sales Growth (YoY)
Sales Growth (QoQ)
4Q 2025 to 1Q 2026
Enterprise Value Per Share
Upto 2026 1Q
Book Value Per Share
Upto 2026 1Q
Debt to Equity Ratio
Upto 0
xPrice Date
Right: 21.496%
14.11 %
ss
36.09%
Rs. 49.36
Rs. 6.49
33.27 %
25-Nov-2025
Note: Actual EPS FY25 is Rs. (6.28) calculated from actual New paid up capital; announced EPS FY25 of Rs. (8.37)
Equity Ratios
Book Value
Upto 2026 1Q
Exp Book Value
Upto 2026 1Q
Book Value Growth
Upto 0
Exp Book Value Growth
Upto 2026 1Q
Price To Book Value
Upto 2026 1Q
Exp Price To Book Value
Upto 2026 1Q
Return On Equity
Upto 2025 4Q
Exp Return On Equity
Upto 2026 1Q
Retention Ratio
Upto 0
Exp Retention Ratio
Upto 0
Equity To Assets Ratio
Upto 2025 4Q
Return On Assets
Upto 2025 4Q
Return On Cap Employed
Upto 2025 4Q
Rs. 6.49
Rs. 5.21
N/A %
-19.72 %
7.45 x
9.29 x
-92.21 %
-24.57 %
N/A %
N/A %
77.03 %
-71.02 %
-50.95 %
Dividends
Latest Dividend
Upto 0
Dividend Last Quarter
0
Last Annual Dividend
Upto 0
Dividend Yield
Upto 0
Expected Dividend
Upto 0
Expected Dividend Yield
Upto 0
Expected Dividend Growth
Upto 0
Dividend Cover
Upto 0
Payout Ratio
Upto 0
Expected Payout Ratio
Upto 0
Rs. N/A
Rs. N/A
Rs. N/A
N/A %
Rs. N/A
N/A %
N/A %
N/A x
N/A %
N/A %
Sales
Sales Per Share
Upto 2025 4Q
Exp Sales Per Share
Upto 2026 1Q
Price To Sales
Upto 2025 4Q
Exp Price To Sales
Upto 2026 1Q
Sales Per Share Growth
Upto 0
Exp Sales P/S Growth
Upto 2026 1Q
Rs. 1.37
Rs. 0.38
35.37 x
127.58 x
N/A %
-72.32 %
Enterprise Value (EV)
EV To Sales
Upto 2025 4Q
Exp EV To Sales
Upto 2026 1Q
Enterprise Value
Upto 2026 1Q
Market Capitalization
Latest
EV To EBITDA
Upto 2025 4Q
EV Per Share
Upto 2026 1Q
36.08 x
130.15 x
Rs. 4.59 bn
Rs. 4.50 bn
-13.29 x
Rs. 49.36
Cash
Cash Flow Per Share
Upto 2026 1Q
Cash Per Share
Upto 2026 1Q
Rs. 0.05
Rs. 0.05
Profitablility
Net Profit Margin
Upto 2025 4Q
Gross Profit Margin
Upto 2025 4Q
EBIT Margin
Upto 2025 4Q
EBITDA Margin
Upto 2025 4Q
Net Interest Margin
Upto 0
-459.22 %
14.11 %
-293.24 %
-271.53 %
N/A %
Liquidity
Interest Cover
Upto 2025 4Q
Times Interest Earned
Upto 0
Inventory Turnover
Upto 2025 4Q
Asset Turnover
Upto 2025 4Q
Current Ratio
Upto 2026 1Q
Effective Tax Rate
Upto 2025 4Q
Quick Ratio
Upto 2025 4Q
Net Interest To Assets
Upto 2025 4Q
-625.45 %
N/A %
1.03 %
15.47 %
1.30 x
-18.75 %
0.27 x
2.18 %
Solvency
Long Debt To Equity
Total Debt To Equity
Long Debt To Assets
Upto 2026 1Q
Total Debt To Assets
Upto 2026 1Q
15.87 %
33.27 %
11.91 %
24.97 %